黃一教授講控制歷史(上)

2023/4/7 11:57:57 人評論 次瀏覽 分類:文化長廊  文章地址:http://www.gzmengda.com/community/4749.html

2005年,中國科學院系統控制重點實驗室給室里研究生們開了一次“控制理論基礎”的課程,由張紀峰、方海濤和筆者聯合上課,每人講4次,每次4小時。分配筆者講“線性系統的頻域響應方法”部分,主要考慮到控制室的學生本科大多是學數學的,對經典控制理論了解不多,希望給大家補上這部分內容。張紀峰還慷慨地給了筆者一堆資料,其中一本1996年IEEE Control Systems雜志第3期控制歷史專輯(special issue on the history of control)讓筆者如獲至寶,至今仍霸為己有。當時看得如饑似渴,不斷有“原來是這樣”的收獲,邊看邊想,如果學生們在學習第一門控制課程時就了解這些過往,控制課程就不再只是一條條定義一堆堆定理,還知道它們是為了解決什么問題而提出和建立的,解決了哪些問題,不足又在哪里。于是,就特別想在課上與學生們分享一下控制歷史,但又感到歷控制史太龐博,能講出來的只是自己被吸引有所感觸的部分,難免掛一漏萬,因而加上“走馬觀花”的前綴。

1996年IEEE Control Systems控制歷史專輯
圖1 1996年IEEE Control Systems控制歷史專輯


2007年給控制室研究生講“線性系統”課程的補充部分,2011年、2016年2次給國科大研究生上“系統穩定性理論”課程都會興致勃勃地把這部分內容端出來與學生們分享,而且這期間不斷順藤摸瓜,看見有關的素材會格外關注一下,加以補充。那時,查找資料還不像現在這么方便,高志強、姜鐘平都從國外幫筆者查過資料買過書。


2018年,收到《系統與控制縱橫》的約稿,筆者頗有些猶豫,主要還是擔心內容上只是隨自己興趣而來,信馬由韁。2019年給國科大本科生上“控制論”課程,又策馬溜了一遍。終于,著手整理出來,并非完整的控制發展歷史介紹,更像是一份教案。


本文以Stuart Bennett的文章為主線,以1996年專輯中President's Message里的一席話開場:"控制系統的歷史悠久,沒有人能確切知道第一個控制系統是什么時候發明的,但我們可以肯定地說,那時它一定沒有被認為是一個"控制系統"。因為控制太自然了,從抽象意義上說,任何一個可以被另一個對象或過程改變的對象或過程都可稱之為控制。我們無法確定人類是何時開始有目的地改變(控制)他所生存的環境"。



圖2 走馬觀花線路圖


一般認為,最早的控制系統是公元前300年~公元前1年古希臘人和阿拉伯人發明的水鐘中的浮球調節裝置。

 
希臘人Ktesibios發明的水鐘
圖3 希臘人Ktesibios發明的水鐘


圖4為水鐘中的浮球調節裝置示意圖,水從漏壺中以恒定的流量注入受水壺,浮在受水壺水面上的漏箭隨水面上升指示時間。為了獲得恒定的流量,必須使漏壺的水位保持恒定。當漏壺水位下降時,浮球隨之下降,水自動注入漏壺,漏壺水位上升到設定高度時,浮球自動堵住入水口,漏壺水位保持在設定高度。


水鐘中的浮球調節裝置示意圖
圖4 水鐘中的浮球調節裝置示意圖


現在我們通常把閉環(反饋)控制系統分為傳感器、控制器、執行機構、被控對象等幾個基本組成部分,在浮球調節裝置這個設計巧妙的控制系統中,傳感器、控制器、執行機構是一體的。


浮球調節裝置現在還在我們的日常生活中廣泛使用,就是抽水馬桶。筆者自己學習控制的第一堂課上,老師給我們舉的控制系統例子就是抽水馬桶,當時還覺得怎么學了個不太“高雅”的專業。


在筆者的課程中一直希望能讓學生們將課堂學習與實際聯系起來,都會給學生們留一個大作業,每人選取一個自己感興趣的控制系統結合課程內容進行分析介紹,學生們在這個環節的表現往往一改平時上課的沉悶,一個個熠熠生輝,每每讓筆者心花怒放,驚嘆不已。還記得A同學一開始交上來的選題是“抽水馬桶系統”,筆者給改了個“好聽”一點的題目“浮球液位控制系統”,結果A同學上臺后的開場白是:“老師改的題目有點小了,我今天要講的是抽水馬桶系統中的控制問題”,立刻讓筆者對這個看上去文文靜靜的小姑娘所表現出的執著的科學精神肅然起敬。


中國古代計時器則有刻漏、水運渾天儀、水運儀象臺等,中國古代著名的控制系統還有指南車、都江堰水利工程等。



圖5 北宋蘇頌、韓公廉等人所制水運儀象臺


Mayr的書中提到了中國古代的水運儀象臺和指南車,但對其控制原理還有疑問。


都江堰水利工程(約公元前256-前251)則被許多人認為是一個杰出的控制系統,二千多年了,至今依然在造福成都平原。
都江堰主體工程包括魚嘴分水堤、飛沙堰溢洪道和寶瓶口進水口,被控量為進入成都的水量,枯水期不能少,豐水期不能多,是個多環節控制系統,而且充滿各種擾動、不確定性和時變性。

都江堰水利工程
圖6 都江堰水利工程(圖中的三個紅圈分別為魚嘴分水堤、飛沙堰溢洪道和寶瓶口進水口)


2015年第6屆中瑞控制會議在成都召開,有先到達的瑞典參會人員迫不及待地去了都江堰,回來后就在自己報告的第一頁打出都江堰的照片,贊嘆這一控制系統。

近代歐洲最早發明的反饋控制系統是荷蘭人Cornelis Drebbel(1572-1633)發明的溫度調節器。

荷蘭人Drebbel發明的恒溫箱
圖7 荷蘭人Drebbel發明的恒溫箱


Drebbel是荷蘭發明家,他發明了一個孵化小雞的培育箱,通過控制爐溫來給培育箱加熱。

 
培育箱溫度控制裝置示意圖
圖8 培育箱溫度控制裝置示意圖


圖8為培育箱溫度控制裝置示意圖,培育箱是雙層的,中間有水,把熱量均勻地傳遞給內層,溫度傳感器是一個內部裝有酒精和水銀的容器。當溫度過高時,溫度傳感器的水銀柱上升,閥門關閉,減少進氣,降低溫度;反之則水銀柱下降,閥門打開,增加進氣,提高溫度。


人們普遍認為最早應用于工業過程的控制器是瓦特(James Watt,1736-1819)1788年應用于蒸汽機的飛球式調速器。
飛球式調速器(Fly-ball governor),也稱為離心式調速器(centrifugal governor)。

飛球式調速器示意圖
圖9 飛球式調速器示意圖


圖9展示了其工作原理:假定發動機運行在平衡狀態,兩個重球在與中心軸成某一給定角度的錐面上圍繞軸旋轉。當發動機負載增大時,它的速度減慢,兩個重球下跌到更小的錐面上旋轉,引起杠桿運動打開蒸汽室主閥(執行機構),從而增加進入的蒸汽量,以恢復減小的速度。因此,球與中心軸的角度是用來傳感輸出速度的。

飛球式調速器被認為是控制發展史上的一個里程碑,Mayr書的封面就是一個飛球式調速器的圖片,筆者曾在倫敦街頭見到一尊雕塑,以飛球式調速器代表科學。

倫敦街頭代表科學的雕塑
圖10 倫敦街頭代表科學的雕塑


關于飛球式調速器,有個誤傳流傳較廣,說是瓦特發明的。


飛球式調速器并不是瓦特發明的。關于應用離心力控制速度的研究,科學家惠更斯(Christiaan Huygens,1629-1695)和胡克(Robert Hooke,1635-1703)都曾鉆研過這個問題,并設計了利用離心力控制速度的裝置。


惠更斯和胡克都曾鉆研過利用離心力控制速度的問題,并設計了有關裝置
圖11 惠更斯和胡克都曾鉆研過利用離心力控制速度的問題,并設計了有關裝置


到18世紀,在蒸汽機之前,離心力調速器已經在風車上被大量應用。風車技術人員開發了許多新裝置,不過他們大多是工程師不是科學家,因此除了簡略的專利,留下的文獻紀錄很少。圖12中是Thomas Mead1787年申請的控制風車速度的調節器專利中的一張圖,可以看到采用了一個雙球的離心力調節器。


1787年Thomas Mead申請了一個控制風車速度的調節器專利
圖12 1787年Thomas Mead申請了一個控制風車速度的調節器專利


然后是瓦特蒸汽機登場,瓦特對蒸汽機的改進始于1763年,當時他在格拉斯哥大學(University of Glasgow)幾位教授的幫助下,在大學里開設了一間小修理店,這年,他修理了學校的一臺紐科門蒸汽機(Newcomen steam engine),但當時蒸汽機的效率很低。此后,瓦特對蒸汽機進行了一系列重大改進:如將冷凝器與汽缸分離、采用連續旋轉運動的曲柄傳動系統、發明了雙向氣缸、平行運動連桿機構等。1788年瓦特從其合伙人博爾頓(Matthew Boulton)處了解到已經在風車中采用的飛球調速器,意識到可以改進后用到蒸汽機的轉速控制,以保證蒸汽機的平穩運行,于是發明了采用飛球調速器的蒸汽機。


蒸汽機的出現開辟了人類利用能源的新時代,使人類實現了機器大生產。后人為了紀念瓦特這位偉大的發明家,把功率的單位定為“瓦特”。


到1868年,約有75000臺Watt governor在英國使用。最初的Watt governor存在的主要問題是:只能在一個運行條件上實現精確控制,即只能在小(負載變化)范圍運行。用現在的話說,就是當負載(外擾)變化較大時,控制存在穩態偏差。


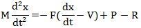
瓦特調速器只采用了比例控制,我們采用如下的一個簡化模型描述其工作過程:


其中:P為驅動力矩,R為負載力矩,V為設定轉速,實際轉速為dx/dt,F為反饋增益系數,t為時間,穩態時的速度為:


可見,系統存在與負載R(未知外擾)有關的穩態偏差。


19世紀最初的70年,大量的工作圍繞改進調速器展開,很多科學家需要采用性能更好的調速器來開展各自領域的研究工作,世界各地出現了大量調速器方面的專利。比如圖18的Fleeming Jenkin設計的調速器,在這個設計中,系統平衡點不再受負載外擾R的影響,但卻遇到了穩定性問題。19世紀早期出現了關于調速器“hunting(來回擺動,即不穩定)”行為的報告,人們開始努力分析調速器動態特性,尋找穩定(non-hunting)的條件。


Fleeming Jenkin設計的調速器
圖13 Fleeming Jenkin設計的調速器


瓦特是企業家,并沒有從事調速器的理論分析。


從1673年Christian Huygens,Robert Hooke直到1868年James Clerk Maxwell 一段時期控制理論的早期發展,其中對G.B.Airy(1801–1892,劍橋大學數學及天文學教授)在調速器的穩定性分析方面所做的貢獻給予了特別的評價。


Airy關注調速器的速度控制問題,是因為他需要采用調速器控制望遠鏡以與地球旋轉方向相反做補償地速的運動,以便長時間觀察某一星座。他使用調速器時發現其可能有的不穩定運動:“The machine(If I may so express myself)became perfectly wild ”(Fuller引用Airy 1840 年論文所述),并采用微分方程的工具對此進行分析。Fuller認為 Airy的研究對控制理論的貢獻在于引起對控制系統中不穩定現象的關注、提示不穩定問題可以通過系統的微分方程模型來說明,是動態控制系統研究的開端。但由于他的論文寫得非常簡略,不能判斷他當時是否得到了穩定性條件。


人們對宇宙的探索對控制理論的發展起過很大的推動作用,甚至早于牛頓運動定律發表之前,天文學家是第一批著手解決動態系統穩定性問題的人,因為他們需要精確控制大型望遠鏡的運動而且他們熟悉太陽系中天體運動的穩定性問題。1893年,俄羅斯數學家A.M.Lyapunov發表了他著名的關于動態系統穩定性的博士論文,建立了非線性時變系統常微分方程理論,這個研究的出發點也是為了研究行星運動的穩定性問題?,F代航天工程的發展更是極大地推動了控制理論的發展。


相機對準天空固定不動長時間不斷拍攝的照片疊加出星軌圖片
圖14 相機對準天空固定不動長時間不斷拍攝的照片疊加出星軌圖片


圖14可以說明為什么如果想長時間觀察某一星座,需要控制望遠鏡與地球旋轉方向相反做補償地速的運動。圖14為將相機對準天空固定不動長時間不斷拍攝獲得的照片疊加出的星軌圖片,可以感受地球運動對觀星的影響;用赤道儀精確控制相機以與地球轉動方向相反以地速轉動并長時間不斷拍攝,然后將照片進行疊加,則可呈現出肉眼很難看到的美麗的仙女座大星系。


赤道儀精確控制相機以與地球轉動方向相反以地速轉動并長時間不斷拍攝,然后將照片進行疊加,則可呈現出肉眼很難看到的仙女座大星系

1868年,J.C.Maxwell的論文"On Governor"系統地分析了幾類調速器并給出了穩定性條件,被認為是第一個系統地分析反饋控制系統的理論研究。

1868年,J.C.Maxwell(James Clerk Maxwell ,1831-1879)發表論文"On Governor",系統地分析了幾類調速器并給出了穩定性條件。


上面通過方程分析Watt governor存在穩態偏差的討論就來自Maxwell的論文,并進而對Fleeming Jenkin調速器的動態進行了如下建模:


其中P,V,R,F,dx/dt的定義同(1),G,Y,亦為反饋增益系數,W為重物產生的力矩,y為重物的運動。穩態時,調速器的速度為:


說明系統的穩態值與負載R(未知外擾)無關。但系統的穩定是有條件的,只有當


的根都具有負實部時,系統才能到達穩態。


Fuller認為麥克斯韋這篇論文的主要貢獻是:

1、是系統地研究動態控制系統的第一篇論文;
2、采用了線性化技術研究運動系統的穩定性,從而通過特征方程判斷系統的穩定性, 得到了三階系統特征方程穩定的判據;
3、文中例子說明可以設計控制器即消除偏差又不致引起不穩定;
4、提出了尋找高階系統穩定性判據的問題。

1948年維納(Norbert Wiener,1894-1964)為他的學說取名Cybernetics就是為了向Maxwell的On Governor論文致敬,因為Cybernetics和Governor的希臘文和拉丁文是同一個含義。


1948年維納為他的學說取名Cybernetics就是為了向Maxwell的On Governor 論文致敬
圖15 1948年維納為他的學說取名Cybernetics就是為了向Maxwell的On Governor 論文致敬


當年筆者第一次讀到第一篇系統地分析反饋控制系統的論文作者是Maxwell時有點被驚到了,這個麥克斯韋是那個提出著名的電磁Maxwell方程的大物理學家麥克斯韋嗎?進而好奇他怎么會跑來研究控制問題的?好像是來跨界打醬油的,還竟然就一下做出個開創性的工作,弄了個第一。


根據Mayr介紹,在蒸汽機時代,調速器的精度和穩定性問題是一個時髦的問題,困惱了當時的很多科學家和發明家,好像麥克斯韋做這個研究只是追逐了一下熱點。


但筆者覺得另外幾個原因更順理成章:1863年,作為英國科學促進協會電氣標準委員會(British Association for the Advancement of Science committee on electrical standards)的成員,Maxwell和H.C.Fleeming Jenkin一起進行了確定電學標準的實驗工作,實驗中需要控制其中的一個圓形線圈以勻速轉動,就用到了Fleeming Jenkin設計的調速器,Maxwell對此印象深刻。另一方面,更早的時候,1857年, Maxwell曾以"On the stability of the motion of Saturn's Rings" 獲得過Adams Prize,他通過把土星環的微分方程線性化,得到一個4階特征方程,從而可以分析其穩定性。所以他對穩定性問題既有知識儲備和積累,又對調速器有直接的了解。


Maxwell沒有進一步得到更高階特征方程的根都具有負實部的充要條件,他更大的興趣還是在電磁學方面,Fuller甚至認為Maxwell寫"On Governor"這篇論文就是為了可以讓自己從控制問題中脫身,從而專心于電磁學的工作。


但他把確定高階特征方程的根都具有負實部的充要條件這一問題明確地提了出來,希望得到數學家的關注。在科學的發展中,準確地提出問題和解決問題同樣重要。


麥克斯韋提出的問題被他劍橋大學三一學院校友勞斯(E.J.Routh, 1831-1907, English mathematician)解決(1854年,勞斯與麥克斯韋以第一和第二的成績畢業于劍橋)。


1877年,E.J.Routh得到特征方程所有根都有負實部的多項式系數條件,Adolf Hurwitz(1859-1919, German(Swiss)mathematician)1895年也獨立地推出了這個判據,因而并稱Routh-Hurwitz判據。


1877年Adams Prize(麥克斯韋為評獎委員會委員)的主題是the criterion of dynamical stability,勞斯獲得了此獎,他解決了Maxwell提出的判斷所有根都有負實部的多項式系數條件。


當時解決這個問題的代數工具已經被Augustin-Louis Cauchy,Charles Sturm和C. Hermite等人建立起來,Routh綜合運用這些結果得到了動態系統穩定性理論。


雖然麥克斯韋和勞斯對調速器穩定性分析的結果可能并沒有對具體改進離心力調速器的設計起到直接作用,但對控制科學有很大貢獻,線性化技術與特征方程分析至今仍是控制系統穩定性分析的一個重要手段。


19世紀后半葉-20世紀初, 反饋控制器被大量應用,1911年,Elmer Sperry發明帶有PID控制的船的自動駕駛儀,1922年,Nicholas Minorsky通過分析船的自動駕駛問題,推導出了我們現在稱為的三項控制器-PID(Position-Integral-Derivative)控制器形式。


19世紀后半葉至20世紀初, 反饋控制器被大量應用,包括電壓、電流與頻率的調節、蒸汽發電中的鍋爐控制、電機的速度控制、船與飛行器的駕駛與鎮定、過程工業中的溫度、壓力與流量控制等。


隨著控制系統用于許多不同的工程領域,特別是一些復雜的機械裝置,如船的自動轉向裝置和鍋爐控制(涉及液面、汽壓等多變量控制問題),控制設計問題變得突出起來,這時存在的主要問題有:缺乏通用語言來從理論上理解動態系統的控制問題,缺乏簡單的、容易運用的分析與設計方法。

唯一可用的分析工具似乎只是微分方程和當時還不太廣為人知的Routh-Hurwitz穩定性判據,但應用這個判據需要獲取系統參數值,而且難以具體指導如何設計出使系統穩定的控制器。

一些聰明的工程師如Elmer Sperry(1860-1930,American inventor and entrepreneur)敏銳地注意到人進行控制調整時不是簡單地采用開關控制(on-off approach),而是綜合運用了預測、當被控量接近目標值時撤出控制、以及當存在持續的偏差時進行小量的慢慢調節等方法,于1911年設計出了采用較為復雜控制律-PID控制結合自動增益調整的船的自動駕駛儀,被認為是最早發明的PID控制器。


1922年,Nicholas Minorsky(1885-1970,Russian American engineer and applied scientist)從理論上清晰地分析了船的自動駕駛問題,推導出了我們現在稱為的三項控制器-PID控制器形式。


PID是迄今為止應用最廣泛的一種控制方法,目前95%以上的過程控制迴路和90%以上航空航天控制迴路還都是基于PID控制。2017年國際自動控制聯合會(IFAC)的工業委員會對工業技術現狀進行了調查,在十幾種控制方法中, PID以百分之百好評(零差評)的絕對優勢居于榜首。


其實PID控制器的結構非常簡單,就是系統偏差的”比例-積分-微分”三項線性反饋結構之和。實際系統幾乎都是非線性的,而且不確定性普遍存在于實際系統的建模與運行之中,那么簡單的線性結構的PID控制為什么能在實際中廣泛應用于非線性不確定系統,它的理論基礎是什么?再就是雖然PID只有三個參數,但至今PID調參方法已有上千種,都是經驗公式,而工程界依然認為實際中的大部分PID控制回路并沒有調整在好的工作狀態,那么如何調整才能實現滿意的效果?

PID 控制器:系統偏差的”比例-積分-微分”線性反饋結構
圖16 PID 控制器:系統偏差的”比例-積分-微分”線性反饋結構


這些可以說是控制理論中最基本的問題,一百多年來一直沒能從理論上給以很好回答。這一問題近年獲得一些突破性進展,對PID控制的廣泛性給出了理論回答,而通過研究某種自抗擾控制(ADRC*注1)的具體形式與PID控制的內在聯系,一種可使PID具有自抗擾能力的新的定量調參方法被進一步提出來,新的PID調參方法是由ADRC啟發而來,并不是直觀容易想到的,但其物理功能卻比原PID的三個參數更明確而易于整定。


自抗擾控制(ADRC)啟發PID調參新方法
圖17 自抗擾控制(ADRC)啟發PID調參新方法


*注1:自抗擾控制(ADRC)由中國科學院系統科學研究所韓京清研究員于上世紀80-90年代提出,正式發表于1998年,作為在PID控制基礎上的創新,其強大的魯棒性和突出的瞬態響應性能,吸引著越來越多的關注,已發展為一種可解決具有大范圍及復雜結構不確定系統控制問題的有效方法。


作者:黃一(中國科學院)


相關閱讀

黃一教授講控制歷史(下)

相關儀表推薦

共有訪客發表了評論 網友評論

  客戶姓名:
郵箱或QQ:
驗證碼: 看不清楚?