標準鉑銠30-鉑銠6熱電偶(B型熱電偶)主要作為標準器,在(1100~1500)℃溫度范圍內用于溫度量值傳遞,也用于該溫區的精密測溫。B型熱電偶具有測溫上限高,抗污染能力強,機械強度高,穩定性好,使用壽命長等諸多優點。適用于氧化性和惰性氣體環境中,也可短期用于真空環境中。特別是其測量時受冷端補償的影響較小,使其成為高溫接觸測量的主要計量器具,在高溫測量領域中得到廣泛應用。
根據國家計量檢定系統表和檢定規JJG 141-2013可知,二等標準鉑銠30-鉑銠6熱電偶是溫度量值傳遞的重要一環,它的量值向上溯源到一等標準鉑銠30-鉑銠6熱電偶,量值向下傳遞到Ⅲ級工作用鉑銠30-鉑銠6熱電偶。
本文根據檢定規JJG 167-1995、規范JJF 1059.1-2012和CNAS的相關要求對二等標準鉑銠30-鉑銠6熱電偶檢定結果進行不確定度的評定,根據標準器、配套設備、測量方法,建立測量模型,分析不確定度來源,評定A類和B類不確定度分量,最終合成標準不確定度,用CMC的表達方式表示測量結果的擴展不確定度。評估方法和結果為今后的檢定、校準、檢測和相關科研提供參考,由各個不確定分量引入的結果也可以分析出該檢定項目中測量存在的缺陷,為今后提高測量水平提供依據。
1、測量對象被檢偶為二等標準鉑銠30-鉑銠6熱電偶,其檢定點及熱電動勢值的最大允許誤差如表1所示:
表1 熱電動勢值最大允差表

鉑銠30-鉑銠6熱電偶各檢定點的熱電勢值和微分熱電動勢值如表2所示:
表2 微分熱電動勢值表

2、標準器和配套設備鉑銠30-鉑銠6熱電偶檢定所需的標準器和配套設備相關信息如下表3所示:
表3 標準器和配套設備信息表

3、測量方法根據檢定規程JJG 167-1995中“四檢定方法”的要求,二等標準鉑銠30-鉑銠6熱電偶在檢定前經過清洗、退火、穿管、捆扎等準備工作,用一支一等標準鉑銠30-鉑銠6熱電偶作為標準偶在(1100-1500)℃范圍內的整百度點(1100℃、1200℃、1300℃、1400℃、1500℃)附近采用雙極比較法對其熱電勢值進行校準,待熱電偶測量端達到熱平衡狀態時,在每個校準點對標準和被校進行4次讀數,所得結果經過修正與標準進行比較,計算得出被檢熱電偶示值誤差。
4、測量模型
E被(t)=E標證(t)+Δ(et)
式中:E標證(t)為一等標準鉑銠30-鉑銠6熱電偶證書中分度點上的熱電動勢值;Δ(et)為檢定時測得被檢鉑銠30-鉑銠6熱電偶和標準鉑銠30-鉑銠6熱電偶熱電動勢的平均值的差值。
5、標準不確定度分量評定
5.1 輸入量E標證(t)的標準不確定度u(E標證(t))的評定
輸入量E標證(t)的標準不確定度來源于分度一等標準鉑銠30-鉑銠6熱電偶,分度結果的不確定度,由相關資料可知,換算成熱電勢值見表4:
表4 一等標準鉑銠30-鉑銠6熱電偶引入的不確定度

5.2 輸入量Δ(et)的標準不確定度u(Δ(et))的評定
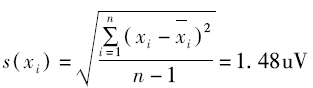
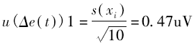
5.2.1 由被測標準鉑銠30-鉑銠6熱電偶的測量重復性引入的標準不確定度分量u(Δ(et))1(A類);
因在(1100-1500)℃溫度點測量時,被測偶重復性情況類似,故對其在某一溫度點進行重復測量情況的分析,可代表其在其他溫度點的測量重復性情況的分析。
用整個測量裝置對一支被測的二等標準鉑銠30-鉑銠6熱電偶在1500℃溫度點上進行10組獨立重復測量,讀取被檢二等鉑銠30-鉑銠6熱電偶和一等標準鉑銠30-鉑銠6熱電偶熱電動勢的平均值的差值,其結果如下表5:
表5 測量重復性

用貝塞爾公式法計算得出單次實驗標準差

由被檢偶測量重復性引入的標準不確定度分量

5.2.2 由電測設備示值誤差引入的標準不確定度分量u(Δ(et))2(B類)
根據數字電壓表34401A的說明書中的技術指標可知,校準后1年內其示值最大允許誤差為±(0.005%×示值+0.0035%×量程),量程選擇為(0-100)mV,示值的選擇根據不同的溫度點。由ITS-90溫標B型熱電偶分度表可知,然后就可以算出各檢定點對應的數字電壓表的示值誤差,見表6:
表6 數字電壓表示值誤差

根據以上計算結果,取數字電壓表的示值最大允許誤差的模為區間半寬度a,區間內服從均勻分布k=根號3,由a/根號3就可以得出數字電壓表的示值誤差引入的標準不確定度分量u(Δ(et))2,見下表7:
表7 示值誤差引入的標準不確定度分量

5.2.3 由熱電偶檢定爐爐溫溫場不均勻引入的標準不確定度分量u(Δ(et))3(B類);
由實驗可知檢定爐溫場分布不均勻產生的最大溫差為±0.5℃,區間半寬度a=0.5℃在區間內可服從均勻分布k=根號3,造成熱電偶在各個溫度點的熱電勢值影響和標準不確定度為,見下表8:
表8 爐溫溫場不均勻的標準不確定度分量

5.2.4 由掃描開關產生的寄生熱電勢引入的標準不確定度分量u(Δe(t))4(B類);
由掃描開關說明書中技術指標可知轉換開關的寄生熱電勢不超過±0.4uV,區間半寬度a=0.4uV在區間內可服從均勻分布k=根號3,

6、合成標準不確定度
6.1 二等標準鉑銠30-鉑銠6熱電偶的不確定度分量匯總表見表9。
表9 標準不確定度分量匯總表

6.2 合成標準不確定度
以上各項分量均互不相關,因此合成標準不確定度為
按照不同的檢定點結果如下見表10:
表10 合成標準不確定度

7、不確定度的表示
U=k*uc取k=2,按照CMC的范圍表示方法相應的擴展不確定度見表11。
表11 擴展不確定度

本文主要分析和評定了雙極比較法檢定二等標準鉑銠30-鉑銠6熱電偶的測量不確定度。評定結果采用CMC范圍表示方法,各個測量范圍內的擴展不確定度線性內插,擴展不確定度的單位與測量范圍的單位相對應。
由不確定度分量匯總表可以看出影響二等標準鉑銠30-鉑銠6熱電偶檢定準確性的最主要因素是標準器分度引入的不確定度。在配套設備引入的不確定度分量中,熱電偶檢定爐溫度場均勻性因素相對較大。這兩點是制約二等標準鉑銠30-鉑銠6熱電偶檢定準確性的主要因素,在未來相關檢測手段的發展中應著重解決。
