操作工常說的壓力變送器顯示偏高或偏低就是指壓力變送器輸出電流超差。壓力變送器有問題出現該類故障的概率極低,大多數是與壓力變送器配套的外圍附件有問題引起。如流量測量時三閥組的平衡閥關閉不嚴或泄漏,等于間接減少了進入差壓變送器的差壓信號,造成差壓變送器輸出電流偏低。導壓管堵塞或者泄漏,就會出現變送器輸出電流偏高或偏低的故障。檢查及處理方法可在本站查閱相關內容。
壓力變送器本身有問題導致輸出電流超差,一種是設置有誤出現的偏差;另一種是長時間使用和環境的影響出現超差。分述如下:
①設置有誤出現的超差
變送器的零點在正常情況下,輸出的0%與被測壓力或差壓的零點是一致的。使用中如果出現0%與被測壓力或差壓的零點不一致故障,大多不是變送器有問題,而是設置有誤。如有一臺EJA430變送器,在通大氣的情況下,輸出為0%,但顯示的壓力值卻是0.14MPa,用BT200手操器檢查,發現自動調零值(J10:ZERO ADJ)為0.0%;手動調零值(J11:ZERO DEV)為1.4%。用外部調零把壓力顯示調為0MPa,發現此時輸出為-0.14%。我們知道輸出百分數的值與量程上、下限值有關,進人BT200的量程設置,發現量程下限值為0.14MPa,上限值為10MPa。觀察變送器的銘牌,出廠量程為0.14-14MPa。調校時的疏忽,只修改了量程上限,而沒有修改量程下限,導致出現上述故障。

②長時間使用和環境的影響出現超差
a、零點漂移的調校
變送器的零點漂移,即輸入給變送器的壓力已為零,但輸出電流不是4mA或者顯示誤差超出允許范圍,通常用手操器清零大多能解塊問題。但遇到零點漂移無法清除,或者清零后,PV值讀數誤差大時,有合乎要求的標準儀器時,可采用以下方法調校。
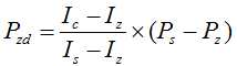
有一臺量程為0-1MPa、0.2級的壓力變送器,其零點輸出值Ic=3.9560mA,用手操器對其零點進行清零,輸出值始終不變。用式(9-1)計算出要輸入給變送器的標準壓力值Pzd。
.................公式(9-1)公式中 Pzd為變送器輸入端壓力,Pa;Ps為變送器輸入端量程上限壓力值,Pa;Pz為變送器輸入端量程零點(下限)壓力值,Pa;Ic為校準前變送器輸出值,mA;Iz為變送器零點理論輸出值,4mA;Is為變送器量程上限理論輸出值,20mA。
按式(9-1)計算出Pzd=-0.00275MPa,于是在變送器輸入端加-0.00275MPa的壓力,待壓力穩定后,用手操器進行清零,然后將輸入端壓力調為零,變送器的零點輸出值為3.9993mA,已在允許誤差范圍內。
b、線性超差的調校
變送器在量程內線性超差,可通過調整量程上限值來解決。當輸入壓力為上限值Ps,電流輸出上限值超出允許誤差時,通過手操器將變送器的上限值修改為Psd,Psd可用式(9-2)計算,除已注明外,式中的其他符號含義與式(9-1)相同。
.................公式(9-2)公式中Psd為變送器輸入端上限修改后內部設定壓力值,Pa;Isc為校驗前變送器上限輸出值,mA。
從式(9-2)可看出變送器的實際上限值仍然為Ps,即量程不變,只是調整后使其實際輸出值與理論值保持一致,來減小或消除示值誤差。
有一臺量程為0-0.4MPa、0.2級的壓力變送器,輸入上限壓力值時,輸出電流值Ic=19.9643mA.按式(9-2)計算得出Psd=0.3991MPa,用手操器將壓力變送器的上限改為0.3991MPa。輸入端加上限壓力0.4MPa,電流輸出值為20.0008mA,已在允許誤差范圍內,再對零點及全行程進行校準。
以上方法基本可以解塊變送器零點漂移及量程上限超差的問題,由于其屬于一點或兩點校準,所以并沒有改變變送器的量程范圍,只是減小或消除示值誤差。
雙法蘭變送器的輸出電流偏高時,應檢查負(低)壓側是否漏油;輸出電流偏低時,應檢查正(高)壓側是否漏油。
本文節選自《教你成為一流儀表維修工》。黃文鑫編著的《教你成為一流儀表維修工》從儀表維修的基礎知識及基本技能入手,詳細介紹了溫度儀表、壓力儀表、流量儀表、液位儀表、變送器、調節閥、控制系統、DCS、PLC的故障檢查判斷及處理方法,其中穿插介紹了237個故障維修實例,《教你成為一流儀表維修工》還有故障及維修的便查索引
