測量依據:JJG229-2010《工業鉑、銅熱電阻檢定規程》。
測量方法:采用比較法進行測量。
測量環境:環境溫度20±2℃,相對濕度<85%。
表1 計量標準設備

1、建立數學模型及不確定度來源分析
①數學模型
檢定點0℃,測量誤差的數學模型:

檢定點100℃,測量誤差的數學模型:

以上公式中,
為被檢鉑電阻在冰點槽中測得的偏離0℃的差;
為標準鉑電阻在冰點槽中測得的偏離0℃的差;
為被檢鉑電阻在100℃恒溫槽中測得的偏離100℃的差;
為標準鉑電阻溫度計在100℃恒溫槽中測得的偏離100℃的差。②不確定度傳播率

公式中,靈敏系數分別為:

③測量不確定度來源
工業熱電阻校準的不確定度評估包括:
a、標準鉑電阻溫度計引入的不確定度
標準鉑電阻溫度計自熱效應引入的不確定度;標準鉑電阻溫度計穩定性引入的不確定度;標準鉑電阻溫度計Rtp引入的不確定度;數字多用表測量引入的不確定度
b、測量被測工業鉑電阻時引入的不確定度
數字多用表的準確度引入的不確定度;恒溫槽垂直溫場引入的不確定度;恒溫槽水平溫場引入的不確定度;被測工業鉑電阻重復測量引入的不確定度。
2、標準不確定度評定
以工業熱電阻校準為例,分析100℃校準點的測量不確定度。
①標準鉑電阻自身引入的不確定度評定
a、標準鉑電阻自熱效應引入的不確定度u1
采用B類方法評定。二等標準鉑電阻的自熱效應,查檢定規程為4.0mK,按均勻分布,其擴展不確定度為:

b、標準鉑電阻穩定性引入的不確定度u2
采用B類方法評定。二等標準鉑電阻的穩定性,查檢定規程為14mK,按均勻分布,可得:

c、標準鉑電阻溫度計Rtp引入的不確定度u3;
采用B類方法評定。二等標準鉑電阻的Rtp,查檢定規程為10mK,按均勻分布,可得:

d、數字多用表準測量引入的不確定度u4;
采用B類方法評定。由數字多用表測量,而直接引用檢定證書中給出的值時的不確定度評估,由于和是用不同電測設備測得,測量誤差之間互不相關。因此,可用方差合成的方法得到:

為檢定周期內Rtp的穩定性。按照上述得到得
測量的最大誤差,可按均勻分布估算
③測量被測溫度計時引入的不確定度
a、數字多用表的準確度引入的不確定度u5
采用B類方法評定。測量被測工業鉑電阻時,用數字多用表歐姆檔進行測量,根據其說明書1000Ω量程誤差為±(50ppm×reading+2ppm×range),取其半區間,服從均勻分布

換算成溫度:

b、恒溫槽垂直溫場引入的不確定度u6
采用B類方法評定。恒溫槽在其溫場的最大垂直溫差不超過0.02℃,按均勻分布,取k=
可得:
c、恒溫槽水平溫場引入的不確定度u7
采用B類方法評定。恒溫槽在其溫場的最大水平溫場不超過0.01℃,按均勻分布,取k=
可得:
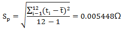
d、被測鉑電阻溫度計測量重復性引入的不確定度u6
采用A類方法評定。重復性測量數據見表3。
表3 被測鉑電阻溫度計重復測量數據(Ω)

計算試驗標準偏差:

實際以測量4次的算術平均值作為測量結果:

換算成溫度:

3、合成標準不確定度及擴展不確定度
①合成標準不確定度
以上各分量獨立不相關,按方和根得合成標準不確定度:

②擴展不確定度
取包含概率p=95%,包含因子k=2,擴展不確定度為 :

作者:孫德慧
