1、數量不少于3支的一等標準鉑電阻溫度計一組
2、精密測溫電橋
精密測溫電橋技術要求:電橋引用修正值后的相對誤差不應大于2×10-5,電橋的最小步值不應大于1×10-4Ω,允許使用技術指標不低于上述要求的其他電測儀器。
3、光電放大檢流計
4、電阻溫度計專用四端低電勢轉換開關
低電勢轉換開關最大雜散電勢小于0.4μV。
5、水三項點瓶及其保溫容器
6、錫凝固點爐或金屬水沸點爐任選其一
金屬錫的純度不低于99.999%(按質量),制造石磨坩堝的石磨純度不低于99.99%(按質量);裝有高純錫的石磨坩堝應該密封在石英或硼硅玻璃容器內,容器應抽真空再充以純度不低于99.999%(按質量)的高純氬氣;在錫凝固時容器內的壓力應在101.325±2.0kPa范圍內。
錫點爐的垂直溫場,從錫點容器中心管底部起180mm范圍內,任意兩點之間的溫差不應超過0.7K。
錫凝固點的溫度應定期用標準組中的一等標準鉑電阻溫度計檢定,實測的Wsn與原檢定證書的Wsn之差不應超過3.4×10-5(9mK)。計量檢定規程中規定:允許用金屬水沸點爐替代錫凝固點爐,金屬水費點爐各孔之間的最大溫差不應大于2mK.
7、鋅凝固點爐
金屬鋅的純度不低于99.999%(按質量),制造石磨坩堝的石磨純度不低于99.99%(按質量);裝有高純鋅的石磨坩堝應該密封在石英玻璃容器內,容器應抽真空再充以純度不低于99.999%(按質量)的高純氬氣;在鋅凝固時容器內的壓力應在101.325±2.0kPa范圍內。
鋅點爐的垂直溫場,從鋅點容器中心管底部起180mm范圍內,任意兩點之間的溫差不應超過0.8k。
鋅凝固點的溫度應定期用標準組中的一等標準鉑電阻溫度計檢定,實測的Wzn與原檢定證書的Wzn之差不應超過4.2×10-5(12mK)。
8、退火爐
鉑電阻退火爐在放置感溫元件100mm范圍內,軸向最大溫差不超過1K。
9、檢定絕緣電阻的萬用表或100V兆歐表
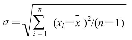
整套二等標準鉑電阻檢定裝置在各個檢定點上的重復性,用不少于6次重復檢定結果的標準偏差表示(按此公式計算)不應超過下表數值
檢定點
標準偏差
水三項點
1.0mK
100度點
2.0mK
錫凝固點
2.6mK
鋅凝固點
3.0mK
