解釋三相異步交流電動機中異步的含義不得不提三相異步電動機工作原理。三相異步電動機是由定子和轉子兩部分構成的,其中定子的目的是產生旋轉磁場。三相異步電動機的定子繞組是一個空間位置對稱的三相繞組,在定子繞組通入三相對稱的交流電流電,這樣就會在電動機內部建立起一個恒速旋轉的磁場。旋轉磁場的方向是由三相電流的相序決定的,即把通入三相繞組中的電流相序任意調換其中的兩相,就可改變旋轉磁場的方向。

旋轉磁場的轉速又稱為同步轉速。同步轉速n0的計算公式為:n0=60f/P,上述公式中n0為同步轉速、f為定子電源頻率、P為磁極對數。在我國電力系統的頻率為50Hz,根據磁極對數的不同得到旋轉磁場的轉速如下表所示。

三相異步電動機工作原理可以簡單的總結為:電生磁,動磁生電,電磁力。電生磁是指三相對稱定子繞組通入三相對稱電流電產生旋轉磁場,這就是上面所講的。動磁生電是指根據電磁感應原理旋轉磁場切割轉子導體感應電動勢和電流。電磁力是指產生感應電流的轉子導體在磁場作用下受電磁力作用,形成電磁轉矩,驅動電動機旋轉,將電能轉化為機械能。以上三部構成了三相異步電動機的工作原理。
那么轉子旋轉速度與旋轉磁場的轉速是什么關系呢?如果轉子旋轉速度與旋轉磁場的轉速相等時,轉子與旋轉磁場間沒有相對運動,也就是說轉子導體不會切割磁感線,那么轉子上不會產生感應電動勢和感應電流,轉子不會產生電磁轉矩,也就是轉子不會旋轉。所以只有轉子的轉速和旋轉磁場的轉速之間有差異,才會產生感應電動勢和感應電流,產生電磁轉矩。也就是轉子的轉速小于旋轉磁場的轉速,并且兩者方向相同的情況下,三相異步電動機才能工作在電動狀態。
也可以說轉子轉速與旋轉磁場的轉速有差異是異步電動機運行的必要條件,這就是三相異步電動機異步的含義與由來。轉子轉動的方向與旋轉磁場的方向相同,當旋轉磁場的方向發生變化時轉子轉動的方向也隨之發生變換。
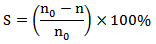
轉差率是三相異步電動機一個非常重要的物理量,轉差率是用來描述轉子轉速和磁場轉速相差的程度,其公式為:

式中n0為旋轉磁場轉速,即同步轉速,n為轉子的轉速。轉子的轉速越接近同步轉速,則轉差率越小。
作者:鄭俊觀
