
圖1 PID控制框圖
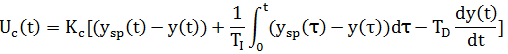
PID是最常見的控制器,其時域形式:


在實際應用中,這種形式的PID在設定值變化時,由于微分作用會導致控制輸出的大幅度變化。實際應用中PID往往采用不完全微分,即使這樣設定值變化時,控制器的輸出還是變化比較大,為了在偏差變化時控制器及時采取動作同時防止設定值變化時的不希望動作,PID變形為PI-D形式。即PI作用于偏差,D作用于測量值。PID的三個參數同時作用于設定值和測量值的偏差。

同樣當被控對象的純滯后比較小時,可以使用比較強的比例作用提高控制回路的抗干擾能力。當比例作用太強時,設定值變化時控制器輸出也會有比較大的變化,為了解決這個問題PID進一步改進出I-PD形式。即I作用于偏差,PD作用于測量值。

Lambda整定方法是根據設定值響應給出的PID參數。選擇非PID標準形式時往往更關注控制回路的抗干擾能力,此時期望閉環響應時間應該選擇最強的參數,自衡對象的期望閉環響應時間λ可以選擇等于純滯后,積分對象的期望閉環響應時間λ可以選擇等于2倍純滯后。
如果對設定值跟蹤性能要求不高,推薦使用I-PD形式,并選擇最強期望閉環響應時間。
使用試湊方法進行PID整定時要注意PID的形式,如果不是標準形式很難根據閉環響應曲線判斷PID參數的強弱。
關于PID、PI-D、I-PD的知識就昌暉儀表就分享到這里。在這里也提出一個問題請您思考:哪些DCS廠家提供了選擇PID形式的功能,如何設置?歡迎您在評論區留言討論。
作者:馮少輝博士
