面對測溫對象的不斷變小(光電子器件的小型化和高度集成化)和新的應用領域要求(當代納米醫療、精細化工等),溫度計需要運用遠程溫度探測原理和技術。
基于鑭系熒光離子的熒光溫度探測是一門新興的技術。這一溫度探測技術不僅具有遠程無損探測的特點,同時探測信號具有很高的空間分辨率和時間分辨率,因此該技術具有非常廣闊的應用前景。
鑭系離子的熒光行為,包括熒光強度、波長和衰減等和該離子所處的環境相關,會根據所處環境的變化而改變。熒光溫度計正是利用熒光行為和局部溫度之間的相關性,以熒光行為(包括熒光強度、波長和衰減)的變化來測定局部溫度的技術。
傳統雙能級玻爾茲曼溫度測量的局限性
波爾茲曼型熒光溫度計是被廣泛研究和報道的一大類,該類熒光溫度計所使用的熒光離子具有兩個能量相近的熱耦合激發能級,如經典的Er3+離子2H11/2-4S3/2能級間隔約為750-800cm-1。兩個能級的布居狀態和發光中心離子所處的溫度相關,并且遵循波爾茲曼原理。該類溫度計測溫原理明確、技術簡單、無需參照物。但受限于波爾茲曼原理,這一雙激發態能級型熒光溫度測試僅能用于非常有限的溫度變化范圍:較低的環境溫度使兩個激發態能級間的熱平衡難以實現,較高的溫度雖有利于兩個激發態的熱平衡,但只能獲得較低的相對測溫靈敏度和精度。是否有方法可以繞過這種熱力學限制,在擴大溫度測量范圍的同時,還能獲得較高的測溫精度呢?
另一方面,除了熒光離子本身的熒光發射,物體會由于黑體輻射而不斷地向外輻射電磁波。黑體輻射強度會隨物體溫度的升高而增強,并且其電磁波波長也會隨著溫度的升高而向短波長方偏移。雖然黑體輻射的峰值波長在低溫(2000K以下)主要位于紅外區域,但其位于短波長區域的波尾也有可能對熒光溫度測量的激發和探測熒光特性產生干擾。此外,對大部分已報到的可見或近紅外熒光溫度測試,自然光也會成為探測熒光的背景干擾。
三激發態能級玻爾茲曼新模型與實驗例證
近日,來自上海理工大學“超精密光學制造團隊”張大偉教授、禹德朝教授聯合荷蘭烏特勒支大學、德國杜塞爾多夫海因里?!ずD髮W、華南理工大學和聊城大學將玻爾茲曼測溫的概念與技術原理擴展到兩個以上的激發態,建立和完善三能級玻爾茲曼測溫模型與理論,并提供定量指南,將多個激發態之間的能隙選擇與不同溫度區間內的激發態能級熱耦合聯系起來。通過這種設計策略,可以基于同一系統,實現極寬溫度范圍內高靈敏度和高精度的非接觸式溫度測量。

圖1 三激發態能級玻爾茲曼型熒光溫度測量和Pr3+→Gd3+藍光到紫外上轉換示意圖
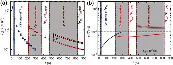
同時,科研人員選取釓離子(Gd3+)作為熒光發射中心,創造性地基于Gd3+6PJ(J=7/2,5/2,3/2)紫外能級以及其晶體場分裂能級和自旋軌道分裂能級來構建三激發態能級熱耦合系統;并用燃燒法合成了YAl3(BO3)4 :Pr3+ ,Gd3+發光粉,其在藍光~450nm作用下實現高效的Pr3+→Gd3+紫外上轉換發光(覆蓋約290-320nm),實驗例證了上述三能級玻爾茲曼溫度測試模型,實現了30K到800K極寬溫度變化范圍內的精確測量:在30K時,其相對靈敏度高達11.6% K-1,全溫度范圍高于0.5%K-1;同時在所有溫區窗口,都可實現不確定性小于0.1%的高精度溫度測量。

圖2 Gd3+6PJ多級熒光玻爾茲曼溫度測量特性及其寬溫區間的最佳性能評估
需特別指出的是,這種藍光→紫外上轉換熒光粉材料很容易被價格低廉且功率強大的450nm藍色LED激發,有利于降低成本,并為應用帶來便利;其激發和發射波段可有效避免最高溫度下黑體輻射影響,實現了零背景發光測溫,在納米醫療、新型光電子器件等領域具有極大的應用價值。
撰稿:禹德朝、李懷勇
推薦閱讀
常用溫度測量方法
