參數整定是控制器設計關鍵的一環。自抗擾控制,尤其線性自抗擾控制因為結構簡單、不依賴被控對象模型、抗擾能力強,具有在工業應用中部分替代PID控制器的潛力。但相比于PID有上千種參數整定算法,目前ADRC的參數整定方法非常少。最近的論文報告了一種定量的ADRC參數整定公式,在多個仿真系統、實際的火電機組上得到了應用驗證。
1、問題描述
自然界很多物理過程本質是分布參數系統,尤其是涉及傳熱傳質的熱力過程。而分布參數系統的傳遞函數通??梢越瞥筛唠A對象模型。因此以多個慣性環節串聯的高階對象作為研究的被控對象:

上述被控對象模型代表了工業過程中一大類自平衡對象,雖然忽略了被控對象可能具有的震蕩特性、非最小相位特性,但由于ADRC的特點,可以將未精確建模的信息通過總和擾動進行估計抵消。實際上以此高階模型作為被控對象推導出的參數整定公式可以適用于更大范圍。

圖1 二階線性ADRC控制系統
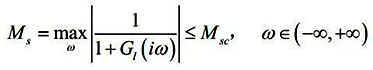
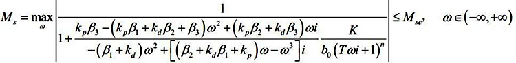
由于被控過程本身具有的不確定性,以及建模過程的不確定性,可以自然地想到利用控制系統的魯棒性作為參數整定推導的約束性調節。在該研究中,選擇容易量化的最大靈敏度Ms作為魯棒性指標。根據的定義,最大靈敏度約束可表示為:

其中,Msc是最大靈敏度的約束值,G/(iω)是開環傳遞函數的頻率特性。對于最大靈敏度約束的理解,從Nyquist圖上來看,若使系統最大靈敏度Ms不大于約束值Msc,則系統Nyquist開環特性曲線與點(-1,0i)的最短距離要大于1/Msc,也就是說,Nyquist曲線不進入,以(-1,0i)為圓心、1/Msc為半徑的靈敏度約束圓內。
在最大靈敏度約束不等式中,帶入二階線性ADRC控制系統開環頻率特性后可得

但問題是,上式約束條件非常難解。所以只能通過其他方式求解約束條件獲得ADRC參數整定公式。
2、參數整定方法及推導結果
上面分析了最大靈敏度約束,實質上為靈敏度約束圓與Nyquist曲線之間的關系。求解上的困難,需要一個特別的角度來攻克這個問題。
通過大量仿真實驗和分析總結發現,對于ADRC控制K/(Ts+1)n類型系統,存在一條垂直于實軸,且位于Nyquist曲線右側的漸近線,如圖2中紅色虛線所示。這是一個很有意思的發現,因為只要這條垂直漸近線位于靈敏度約束圓的右邊,Nyquist曲線就不會進入靈敏度約束圓,也就是說控制系統的最大靈敏度將會小于約束值。
Nyquist曲線與靈敏度約束圓之間的關系,就可以轉變為漸進線與靈敏度約束圓的關系。因此,無法獲得解析解的最大靈敏度約束,似乎有希望通過“以直代曲”的方式來求解。

圖2 最大靈敏度約束與Nyquist曲線及其漸進線

該控制系統Nyquist曲線的漸進線的實軸坐標,可以用取極限的方式求解。
讓垂直漸進線位于靈敏度約束圓右邊,

給最大靈敏度約束值Msc賦值,取不等式的下限,可以求解出b0關于ωc的表達式。ωc、ωo的取值公式推導相對簡單,論文中有詳細介紹。最終,二階ADRC的參數整定公式為

其中,k為一個可調參數,取值范圍為0~4.5。
采用相同的漸近線約束的方法,并對可調參數進行改進,可以獲得一階ADRC的參數整定公式為

其中,Msd為預期最大靈敏度,取值范圍通常為為1.4~2.0。采用上式參數整定公式的控制系統得到的實際最大靈敏度值可以等于預期值。
3、實際應用效果
ADRC參數整定公式首先在多個仿真算例進行了驗證,包括延遲對象、非最小相位對象、震蕩環節的對象,甚至是100階的高階對象。之后被用于水箱水位控制的實驗中,最終被應用于實際運行的火電機組中,包括二次風、過熱汽溫等回路。圖3、圖4所示為循環流化床機組二次風回路的應用效果,表中為應用指標對比。實際使用該整定公式非常容易,初次計算的ADRC參數就可以保證投切后系統穩定過渡,無震蕩發散,并且效果比PID的控制效果好很多。

圖3 ADRC控制二次風回路的效果

圖4 PID控制二次風回路的效果
表1 循環流化床機組二次風控制試驗性能指標

4、應用范圍討論
本文所介紹的參數整定公式,雖然是基于K/(Ts+1)n類型推導而來,實際上任何其他類型對象都有可能使用該參數整定公式來計算ADRC參數,只要可以在時域階躍響應上可以近似成K/(Ts+1)n即可。
本文所介紹的參數整定公式,不僅可以應用于傳統的火力發電系統中,實際上在眾多復雜系統的仿真實踐中,也可以應用其他類型的工業系統中,如燃氣輪機、吸收式制冷系統、太陽能熱化學發電系統、分布式供能系統等。
作者:何婷
