高海拔環境下低壓電器的哪些電氣參數需要降容

2023/10/8 18:35:25 人評論 次瀏覽 分類:電工基礎  文章地址:http://www.gzmengda.com/tech/5113.html

中壓、高壓開關電器一般以油、真空、SF6氣體等作為導體絕緣和觸頭滅弧介質,而低壓斷路器、隔離開關、接觸器等電器的主觸頭、載流導體都是暴露在空氣中,依靠“空氣”作為絕緣和滅弧介質。

低壓電器同行都知道:海拔越高,空氣越稀薄,通過空氣對流散熱的效率就越低,空氣的絕緣強度就越低,導體之間的電氣間隙要求就越大,所以高海拔環境下,低壓電器需要降容使用。


但是,哪些電氣參數需要降容?降容與哪些因素有關?不同海拔下的降容系數如何?等等一系列疑問,昌暉儀表接下來一一回答。


在GB/T14048.1-2012低壓開關設備和控制設備 第1部分:總則中海拔一般不超過2000米,如果超過2000米,廠家會提供相應的海拔降容系數,例如:


某品牌塑殼斷路器的海拔降容系數如下表:


某品牌塑殼斷路器的海拔降容系數

某品牌接觸器的海拔降容系數如下表:

某品牌接觸器的海拔降容系數

我們發現高海拔情況下,需要降容的電氣參數包括額定沖擊耐壓、額定絕緣電壓、額定工作電壓和額定工作電流。

1、額定沖擊耐壓表征的是低壓電器耐受“瞬時”過電壓的能力,決定了導體間的最小電氣間隙,電氣間隙指的是兩個導電部件間最短的直線距離。

電氣間隙指

2、額定絕緣電壓表征的是低壓電器的耐受“長期”電壓的能力,決定了導體間的爬電距離,爬電距離是指兩導電部件間沿絕緣材料表面的最短距離。

爬電距離

3、額定工作電壓是一個與額定工作電流組合共同確定電器用途的電壓值,它與相應的試驗和使用類別有關。在任何情況下最大的額定工作電壓值不應超過額定絕緣電壓值。

4、額定工作電流的確定應考慮到額定工作電壓、額定頻率、額定工作制、使用類別和外殼防護的型式(如有)。


一、巴申定律

提到高海拔降容,就不得不提巴申定律。

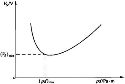
早在1889年,德國物理學家弗里德里?!ぐ蜕晖ㄟ^試驗發現:導體間的擊穿電壓Ujc取決于氣體壓力p和電氣間距d的乘積,并將三者之間的關系繪制成下圖所示的曲線,即著名的巴申曲線。

巴申曲線

曲線的最低點代表間隙最容易被擊穿的情況,以曲線最低點作為分界,在曲線的右邊,如果電氣間隙d不變,空氣壓力p越高,擊穿電壓Ujc越高,反之容易擊穿。


曲線左邊適用于低氣壓和高真空的氣體。在真空環境下,即使存在電子,它們從一個電極飛向另一個電極時,也很少有機會與氣體分子碰撞造成真空間隙的電擊穿,因此,高真空間隙的絕緣強度比變壓器油、高壓空氣、SF6氣體還高。


二、額定沖擊耐壓Uimp和電氣間隙

依據巴申曲線右側的趨勢,當空氣壓力隨著海拔增高而降低時,如果保持海拔2000米時的擊穿電壓或電氣間隙不變,要么增大電氣間隙,要么只能降低沖擊耐受電壓值。

GB/T16935.1-2008低壓系統內設備的絕緣配合 第1部分:原理、要求和試驗中給出了不同海拔下的修正系數。


例如當海拔為2000米時,電氣間隙的倍增系數為1,當海拔為4000米時,如果還想保持原來的額定沖擊耐受電壓值,其電氣間隙需要增加至原來電氣間隙的1.29倍。

電氣間隙的海拔修正系數

低壓電器的額定沖擊耐壓值取決于電源系統的標稱電壓、過電壓類別以及額定工作電壓。例如某斷路器可以應用到AC1000V的電網系統進線端,則其額定耐受電壓為12kV(海拔2000米)。

低壓電器的額定沖擊耐壓值取決于電源系統的標稱電壓、過電壓類別以及額定工作電壓

依據GB/T14048.1標準,非均勻電場條件下,污染等級3,額定沖擊電壓12kV(海拔2000米)對應的最小電氣間隙為14mm。

空氣中的最小電氣間隙

當海拔為4000米時,要保持12kV的額定沖擊耐壓,電氣間隙要增大到:14mm*1.29≈18mm;
當海拔為4000米時,如果電氣間隙保持為14mm不變,那么只相當于14mm÷1.29≈11mm對應的額定沖擊耐壓值,查詢下表,沖擊耐壓值為8kV左右。



三、額定絕緣電壓Ui和爬電距離

額定絕緣電壓Ui在高海拔下的降容系數可以參考IEC 60071-2:2023 Insulation co-ordination - Part 2: Application guidelines的6.2.2章節中公式:



其中H為海拔高度,m在低壓一般取0.5,例如對于4000米海拔時Ka系數為1.28,意味著如果原來低壓電器的額定絕緣電壓為690V(2000米海拔),那么4000米海拔時其額定絕緣電壓要達到690V×1.28≈883.2V。


參考GB/T14048.1表12A的要求,額定絕緣電壓為690V時,介電試驗電壓為1890V,而額定絕緣電壓為883.2V時,介電試驗電壓為2200V。

與額定絕緣電壓對應的介電試驗電壓

同時由于爬電距離與額定絕緣電壓直接相關,所以絕緣電壓由690V變到883.2V時,爬電距離按表15插入法計算為13.32mm(污染等級3,材料組別2)。

電器承受長期應力的最小爬電距離

四、額定電流降容

高海拔情況下,由于空氣密度降低,散熱效率降低,所以低壓電器的額定電流的降容可以參考如下公式:



其中Ih為海拔降容后的額定電流,Ie為未降容前的額定電流,Ph為高海拔的空氣壓力值,Pn為海拔2000米的空氣壓力值。


于是可以得到如下所示的降容系數:



實際上,上述關于額定沖擊電壓、額定絕緣電壓、額定工作電壓和額定工作電流的高海拔降容,都是基于一些理論分析的基礎上得出的降容值。


通過理論分析,可以讓我們知道高海拔情況下,空氣密度和空氣壓力的變化,對電氣絕緣和散熱都有影響,所以電壓和電流都會有所降容。


由于各廠家產品結構、材料以及低壓電器類型差異,降容值都有所不同,沒有統一的降容系數,所以一旦涉及到高海拔降容,建議參照廠家樣本提供的降容系數。


作者:賓紹平

共有訪客發表了評論 網友評論

  客戶姓名:
郵箱或QQ:
驗證碼: 看不清楚?