
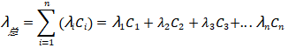
式中λ總為混合氣體的總的熱導率;λi為混合氣體中第i種組分的熱導率;Ci為混合氣體中第i種組分的體積分數。
從上式可以看出,如果根據總的導熱率系數來推算某種組分的含量將變得十分困難,尤其是樣品中存在多種背景組分時,但是,如果能夠滿足以下兩個條件,第一,背景氣中各組分的熱導率近似相等或十分接近或其含量小到可忽略不計的程度,即λ2≈λ3≈λ4≈… …λn,或對測量影響較大的組分的含量近似于零;第二,待測組分的熱導率與背景氣組分的熱導率有明顯差異,而且差異越大儀表靈敏度越高,即λ1>>λ2或λ1<<λ2,滿足上述兩個條件時上式可以簡化為:

可得 :
,式中λ總為混合氣體的總的熱導率;λi為混合氣體中第i種組分的熱導率;Ci為混合氣體中第i種組分的體積分數。如果測得混合氣體的熱導率λ總,就可以求得待測組分的含量Ci。
根據以上理論分析,熱導式分析儀特別適合使用在熱導率相差較大的二元混合氣體的場合。
由于氣體的熱導率很小,它的變化量則更小,所以很難用直接的方法準確地測量出來。工業上多采用間接的方法,即通過熱導檢測器(又稱熱導池),把混合氣體熱導率的變化轉化為熱敏元件(常用的熱敏元件有熱絲型和半導體熱敏型兩種)電阻的變化,混合氣體流經熱敏元件時,會帶走熱敏元件上的一部分熱量。熱敏元件也有一種特性,當存在熱量損失時,它的阻值會發生變化。在某段溫度范圍內,熱量損失的速率與被測混合氣體的含量之間有很好的對應關系,而熱敏元件電阻值變化利用惠斯通電橋電路很容易精確測量出來。這樣,通過對熱敏元件電阻的測量便可得知混合氣體熱導率的變化量,進而分析出被測組分的濃度。
熱導池的機械結構有多種形式 ,下面兩個圖為ABB公司的生產的兩款不同用途的檢測器。薄膜型檢測器在半導體硅材料上光刻測量電阻和參比電阻,這類檢測器靈敏度高,但耐腐蝕能力相對較差;熱絲型檢測器的熱絲外面鍍玻璃層,耐腐蝕能力和使用壽命較長,價格也相對比較昂貴。


檢測器連接和配置方案及電路也有多種形式。典型的有單檢測元件對應單惠斯通電橋型(如圖所示,簡稱單臂型),這種形式結構簡單,靈敏度相對較低;雙檢測元件對應單惠斯通電橋型(兩個檢測元件同時用于測量,如圖所示,簡稱雙臂型 ),這種測量方式靈敏度較高;雙檢測元件帶參比對應單惠斯通電橋型(兩個檢測元件,一個用于測量,另一個用于參比,如圖所示,簡稱雙臂參比型),這種測量方式精度較高;還有雙檢測元件對應雙惠斯通電橋型電路等多種形式。電橋供電有可調節恒壓型、恒流型及交流型等多種方式。



因為檢測器熱敏元件與樣氣是直接接觸的,當遇到背景氣存在酸性氣體(如 H2S,SO2等)的使用場合,為了提高熱敏元件的使用壽命,有些廠家的產品在熱敏元件上通過特殊的工藝鍍一層薄薄的玻璃層,因存在玻璃鍍層,故儀表靈敏度有所下降,但抗腐蝕能力和使用壽命極大提高。 另外,玻璃鍍層制作工藝復雜,這類檢測器價格相對比較昂貴。
