1、濾波電容漏電一例
量程0-10mV的XWC自動平衡顯示儀表一合,輸入10mV電勢,指針僅指刻度標尺的1/3左右,輸入33mV電勢自動平衡顯示儀表才能指示滿刻度。檢查穩壓電源、橋路有關元件,沒有發現問題??紤]該表停用時間較長,根據經驗,電容器是較易出故障的元件,故對濾波電容進行檢查,發現濾波電容器C132漏電,更換電容器后,自動平衡顯示儀表復正常。
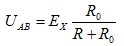
單級或多級L形濾波器都可用上圖所示電路等效,當濾波電容C正常時,具有隔直流的作用。此時自動平衡顯示儀表輸入端的信號EX都加至A、B端,即EX=UAB。當C漏電時其漏阻為R(如圖中虛線所示)。此時加至A、B端的信號:

此時,UAB<EX,所以自動平衡顯示儀表示值將偏低,上述分析中忽略信號源內阻的影響。
2、濾波電容器斷路一例
兩臺H2分析顯示儀并聯接線在兩地使用,一臺自動平衡顯示儀表運行正常,但另一臺自動平衡顯示儀表反應遲鈍,從記錄曲線也可看出不正常,撥指針手感平衡電機無力,并且很久不能復歸原位。
由于兩臺儀表并聯使用,只有一臺不正常,說明H2分析儀傳送器正常,故障可能在自動平衡顯示儀表內部。將儀表拆下修理,在實驗室送信號自動平衡顯示儀表指示正常,再裝回現場故障同上。判斷引起儀表靈敏度下降的原因在儀表外部。用GB-9真空管毫伏表測量兩輸入線,其串模干擾電壓為11mV,共模干擾電壓為0.4V,看來自動平衡顯示儀表靈敏度下降是由于串模干擾造成的。但另外一臺儀表為什么運行正常呢?通過分析,自動平衡顯示儀表克服串模干擾主要是靠輸人端的濾波器,把自動平衡顯示儀表的濾波電容器CL拆下檢査,發現電容器內部開路,更換電容器后自動平衡顯示儀表恢復正常。
單級L形濾波器雖然電路簡單,在一般場合還是可起一定作用的。如本例自動平衡顯示儀表的RL=200Ω,CL=200μF、當干擾電壓為50Hz交流時,濾波電容CL的容抗:

當串模干擾電壓UG為50Hz、11mV時,經過濾波器的衰減,加至儀表放大器輸入端的干擾電壓只有:

可是當濾波電容器CL斷路時,濾波器已經不起作用,則50Hz、11mV的干擾電壓幾乎全部加在放大器輸入端,而使放大器工作在飽和區,導致自動平衡顯示儀表靈敏度顯著下降,出現了上述的故障現象。
