
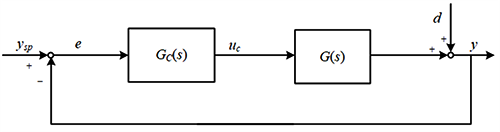
PI控制器可以消除余差,根本原因是在閉環中增加了一個原點極點,將閉環系統從0型系統升級為1型系統。關于如何設置積分時間,一般的說法是積分時間大,積分作用弱,消除余差速度慢;積分時間小,積分作用弱,消除余差速度快。那么到底應該如何設置積分時間呢?PI控制器同時還增加了一個零點,可以消除被控對象的時間常數對閉環系統的影響,這一點一直沒有被充分重視。
對PI控制器的傳遞函數進行變換和重構,有助于理解如何設置積分時間。根據下面的公式變換后,可以把PI控制器看作比例環節、積分環節和PD環節的組合。比例環節中的積分時間,可以看作比例作用的一部分,通過設置合適的比例增益就能對沖,并不需要特別關注。
在PD環節中,積分時間被變換成微分時間了。如何設置積分時間就和對PD環節的要求有關了。

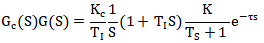
要想整定方法獲得閉環性能一致,最關鍵就是要把被控對象特性的影響對消掉。模型的增益可以用比例增益對消,純滯后環節是不可對消的。從下面的公式可以看出設置積分時間等于時間常數可以讓問題變得簡單。

積分時間等于時間常數后,被控對象時間常數對閉環系統的一階慣性影響就被對消了,開環傳遞函數就變成了下式。這時就進一步可以看出來,為了消除模型增益和模型時間常數的影響,比例增益應該和模型時間常數成正比、和模型增益成反比了。

要想獲得一致的閉環性能,就要保證相位裕度的穩定。此時針對不可對消的純滯后環節的最佳應對就是比例增益和純滯后成反比。另外為了修改相位裕度就要提供一個可調的參數,所以PI的整定規則就是下式。

這個Ω的取值在頻率里有非常清楚的解釋,但是對工程師來說物理意義并不直觀,上面的公式可以進一步重構為如下公式所示的Lambda整定。Lambda整定方法中的λ和純滯后有關,代表了期望的閉環時間常數。工程上要求λ大于等于純滯后,將λ設置為純滯后時間的倍數既是為了方便工程化,也有理論上的考量。理論上并沒有這個要求。

再給上面的公式進行一系列工程改進和簡化,就構成了Lambda工程整定方法的全部。

作者:馮少輝博士
