一、概述
一體化溫度變送器(以下簡稱“溫度變送器”)通常由傳感器和信號轉換器兩部分組成。傳感器包括熱電阻和熱電偶兩種,標準化輸出信號主要為4-20mA(或1V-5V)的直流電信號。

1、測量依據
JJF1183-2007《一體化溫度變送器校準規范》。
2、環境條件
環境溫度:15℃~35℃;相對濕度<85%。
3、測量方法
采用比較檢測法,本單位使用的標準器為一等標準鉑電阻溫度計標準裝置。將溫度變送器的傳感器和標準鉑電阻插入同一恒溫槽內,供給變送器24V電源。在測量范圍內平均取5~7個點,并從測量下限溫度開始,自下而上依次測量輸出值。
二、測量模型(含有溫度顯示的儀表)
x=tx-ts
式中:x為被校溫度變送器讀數誤差值,℃;tx被校溫度變送器顯示值,℃;ts為標準器(一等標準鉑電阻溫度計)示值,℃。
三、舉例
用一等標準鉑電阻溫度計標準裝置,采用比較法校準一體化溫度變送器。將溫度變送器的傳感器和標準鉑電阻插入同一恒溫槽內,供給溫度變送器24V電源。從測量范圍的下限溫度開始,自下而上依次測量。在被校點溫度足夠穩定后,輪流對標準鉑電阻和變送器的輸出進行反復6次讀數。
選取被校對象為ROSEMOUNT3144P型熱電阻作為傳感器的溫度變送器,其測量范圍為0℃~100℃,輸出電流為4-20mA,顯示溫度值和電流值。檢測點選為0℃、25℃、50℃、75℃和100℃。下面以被校溫度變送器50℃點的示值誤差值為例進行不確定度評定。
四、一體化溫度變送器不確定度評定
1、標準器引入的不確定度ts
(1)標準鉑電阻溫度計溯源引入的不確定度μ1
根據一等標準鉑電阻溫度計檢定證書數據,50℃時一等標準鉑電阻溫度計的標準不確定度為u1=0.0012℃。
(2)標準鉑電阻溫度計水三相點變化引起的不確定度u2
取標準鉑電阻溫度計使用前后Rtp變化為3mK,按均勻分布,標準不確定度為u2=0.003/√3=0.0017℃。
(3)標準鉑電阻溫度計配電測儀器引入的不確定度u3
所選用Fluke1590型電橋的相對誤差不超過6×10-6,一等標準鉑電阻溫度計以電阻的形式計算實際溫度。50℃時標準器的標稱值為30Ω,計算:u3=6×10-6×30×10/√3=0.0010℃
2、被校溫度變送器引入的不確定度tx
(1)被校溫度變送器顯示分辨力引起的不確定度μ4
計算時被校溫度變送器顯示分辨力引起的誤差限為分辨力的1/2,即0.0005℃,按均勻分布計算,標準不確定度為u4=0.0005/√3=0.0003℃。
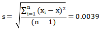
(2)被校溫度變送器示值重復性引起的不確定度u5
溫度計在50℃重復測量6次讀數如表1所示。
實驗測得
,則u5=s=0.0039℃
表1 溫度變送器在50℃重復測量6次的讀數

3、ts與tx比較引入的不確定度
(1)時間常數與恒溫槽波動引入的不確定度u6
標準器與被校變送器時間常數不一致主要表現在恒溫槽波動性上,恒溫水槽在50℃時,10min標準恒溫水槽波動度為±0.004℃,按半區間計入,取恒溫槽波動±0.004℃,反正弦分布,標準不確定度為u6=0.004/√2=0.0029℃。
(2)恒溫槽溫度場不均勻引入的不確定度u7
標準恒溫水槽在50℃時,均勻度為0.003℃,按均勻分布,標準不確定度為u7=0.003/√3=0.0018℃。
4、合成不確定度及擴展不確定度計算
綜上分析所述,用一等標準鉑電阻溫度計校準溫度變送器(50℃)合成不確定度分量:
①標準器溯源的不確定度u1=0.0012℃;
②標準器Rtp變化引入的不確定度u2=0.0017℃;
③電測設備引入的不確定度u3=0.0010℃;
④被校變送器顯示分辨力引入的不確定度u4=0.0003℃;
⑤被校變送器重復性引入的不確定度u5=0.0039℃;
⑥時間常數與恒溫槽波動引入的不確定度u6=0.0029℃;
⑦恒溫槽不均勻引入的不確定度u7=0.0018℃。
將上述相對不確定度合成得:

取包含因子k=2,則u=k×uc=0.006×2=0.02℃
五、結束語
由計算結果可以看出,本次用一等鉑電阻標準裝置檢測顯示分辨力為0.001℃一體化溫度變送器的測量結果中,溫度變送器示值重復性是該方法不確定度的主要來源。對于使用其他標準器檢測低分辨力的一體化溫度變送器來說,須按檢測時情況另行分析。
作者:(中國計量科學研究院)生瑩、張哲
