
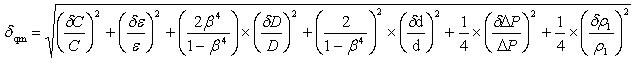
對于差壓式流量計總不確定度,按GB/T2624.1-2006規程的實用計算公式:

從式可看出:流出系數C,流束線脹系數ε,管道內徑D,孔板開孔直徑d,差壓變送器測量的差壓△P,被測流體的密度ρ等項,還有上式不包括的流量積算儀的誤差,這些參數在使用現場如發生了變化,都將影響流量測量誤差的大小。在現場是什么原因造成這些參數的變化呢?原因大致有:
A、如果孔板的幾何形狀,安裝狀態,管道及流體條件等不符合標準要求;孔板前后的直管段長度不能滿足標準的要求;孔板圓心和管道圓心沒有同軸;角接取壓的取壓孔位置不合要求;這些都會使流出系數C產生附加誤差。
B、流束線脹系數ε,在設計孔板時是采用不變的ε值,但在現場如果流過孔板的被測介質壓力發生變化,也會使流束線脹系數ε產生附加誤差。
C、設計孔板時采用的管道內徑D是指孔板前2D范圍內的管道內徑的平均值,在現場安裝時,即使保證了孔板前10D、后5D是直線段,但工藝用的管道的尺寸是否合乎要求,如橢圓度、直度等,尤其是卷制管的管道內徑D更難保證。
D、現場孔板安裝的問題也不少,如孔板的安裝大多是由管工和焊工來操作完成,有的管工和焊工根本就不聽儀表工的指揮,使孔板的安裝質量達不到要求是常見的事情。如法蘭盤焊到管道后,法蘭與環室配合處與管道軸心不同;法蘭盤與管道內部接合處內部不打坡口,多數是不焊接不打磨,與安裝圖紙的要求差距很大。
E、再就是導壓管的安裝不注意要求,使正、負冷凝器或正、負取樣管線不在同一水平面上,致使孔板產生的差壓值難以正確傳遞到變送器去,而產生了附加誤差。
F、使用條件和工作狀態變化也是重要的影響因素。由于孔板是在特定條件下設計的,并且有一定的使用范圍,如果使用條件、使用范圍與標準不符,則設計、制造、安裝得再標準也是不可能得到準確的測量結果的。當然溫度、壓力的變化是可以通過密度補償的方法來減小測量誤差的。還有就是飽和蒸汽的兩相流向題,在問題“只有理解了蒸汽的特性,才能做好蒸汽流量的測量工作”有詳細說明。
綜合以上問題,可看出現場應用的情況多種多樣,其所造成的流量測量附加誤差是不能低估的,但要定量做出評估也是很困難的。要充分認識實驗室的儀表精度與現場的應用精度是不能畫等號的,即期望用精度高的差壓式流量計在使用現場來得到精度高的測量結果是不可實現的。
相關閱讀
◆流量積算儀流量系數K值計算與參數設置
