流程工業中常采用帶有保護套管的熱電偶、熱電阻和雙金屬溫度計等測量介質溫度。測溫點的工況決定溫度傳感器套管的類型、材質和連接形式。套管有直形、錐形和階梯形。一般中低壓的場合,可選用直形套管;對于被測介質流速較高、要求套管高強度的場合,可選用錐形套管;對于要求阻力小、響應時間短的場合,可選用階梯形套管。溫度計套管連接有法蘭、螺紋和焊接三種形式。溫度計套管材質通常選用316SS不銹鋼或其他材料。
當溫度計套管插入有流動介質的管道或設備時,如果產生共振,則套管會由于劇烈振動而損壞。判斷共振現象發生的依據是溫度計套管自然頻率(fnc)與介質渦旋脫落頻率(fs)的頻率比(r)。溫度計套管插入流體時對流體流動產生阻礙,導致在套管兩側交替產生漩渦,稱為卡門渦街。渦旋脫落在套管上產生兩種力,分別是橫向振動升力和縱向振動阻力。兩者頻率分別為fs和2fs。當fs或者2fs與fnc接近時,共振現象發生,即:在fs=0.5fnc時,縱向共振發生;在fs=fnc時,橫向共振發生。縱向共振發生時的流速為橫向共振發生時流速的50%,縱向共振更容易發生。

昌暉儀表生產高性能溫度計套管。昌暉儀表在本文專業介紹ASME PTC 19.3TW-2016中溫度計套管頻率計算、強度計算及選用。
溫度計套管強度計算
1、適用溫度計套管類型
ASME PTC 19.3TW-2016中給出的溫度計套管強度計算方法,適用范圍主要包括套管類型、套管外形尺寸和套管加工精度要求。
(1)溫度計套管類型
由套管的連接類型和套管形式確定套管類型。套管類型見表1。
表1 溫度計套管類型

①錐形溫度計套管截面如圖1所示。

②階梯形溫度計套管截面如圖2所示。

(2)套管外形尺寸
①直形套管和錐形套管的尺寸見表2。
表2 直形套管和錐形套管的尺寸

注:插入深度大于最大值時本計算方法仍然有效,僅適用于整體棒料鉆孔的套管。
②階梯形套管的尺寸見表3。
表3 階梯形套管的尺寸

注:端部直徑B僅為12.70mm(0.5in)和2.23mm(0.875in)兩個數值。
(3)溫度計套管加工精度要求
溫度計套管加工誤差見表4。
表4 溫度計套管加工誤差

如果加工精度不能滿足表4要求,應進行誤差修正。
2、溫度計套管強度判據準則
(1)低流速狀態判斷
如果溫度計套管處于低流速狀態,發生損壞的風險較小。滿足下述低流速判斷條件時可不進行自然頻率、相應頻率比、穩態應力和動態應力的計算,但要進行最大操作壓力及外部壓力限值計算。
①工藝介質最大流速小于0.64m/s。
②溫度計套管外形尺寸:A-d≥9.55mm、L≤610mm、A≥B≥12.7mm。
③溫度計套管材料:最大允許工作壓力S≥69MPa,且動態應力限值Sf≥21MPa(316SS)。
④溫度計套管材料不受應力腐蝕或脆變影響。
(2)頻率限制條件
計算溫度計套管自然頻率fnc和渦旋脫落頻率fs。頻率限制的合格判據:fs<0.4fnc,fs<0.8fnc或0.6fnc<fs<0.8fnc
3、溫度計套管自然頻率計算
①計算平均套管外徑
a、直形套管:Da=A
b、錐形套管:Da=(A+B)/2
c、階梯形套管:Da=A
②計算溫度計套管初始自然頻率fa

式中I為轉動慣量,
; m為溫度計套管單位長度的質量,
。
使用溫度下溫度計套管的彈性模量E可查相關物性參數表。
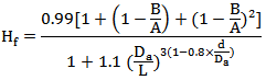
③計算修正系數Hf
a、直形和錐形套管

b、階梯形套管

式中,



ci參數見表5。
表5 ci參數

注:本表僅適用于B=22.2mm和B=12.7mm兩種尺寸。
④計算流體附加質量修正系數Haf

式中,ρ為介質密度,kg/m3。
蒸汽或低密度氣體介質時,Haf=1.0;水介質時Haf=0.94;密度較大介質時,Haf會減小。
⑤計算測溫元件質量修正系數Has

式中,ρs為測溫元件的密度。熱電阻或熱電偶ρs=2700kg/m3。
6.35mm(0.25in)直徑測溫元件,可設定Has=0.96;9.53mm(0.375in)直徑測溫元件,可設定Has=0.93。
⑥計算理想支撐套管的自然頻率fn
fn=Hf×Haf×Has×fa
⑦計算安裝后套管的自然頻率fnc
fnc=Hc×fn,式中Hc為溫度計的安裝彈性系數。
a、當套管與管道連接方式為法蘭或焊接時:

一般設定b為0。
b、當溫度計套管與管道連接方式為螺紋連接時:
Hc=1-0.9(A/L)
綜上所述,安裝后溫度計套管自然頻率fnc隨流體介質ρ增大而減小,與使用溫度下套管的材料彈性模量E成正比。介質密度從低到高,使用溫度從常溫到大于600℃,安裝后的套管自然頻率fnc在200Hz左右。
4、溫度計套管渦旋脫落頻率fs計算
溫度計套管渦旋脫落頻率與介質流速有關,即

式中,Ns為斯特羅哈數;V為流速,m/s;B為套管頭部直徑,m(in)。
Ns的計算用工況流速,不是共振時流速。Ns與介質雷諾數Re有關,約為0.22。
①22≤Re≤1300時

②1300≤Re≤5×105時

③5×105≤Re≤5×107時
Ns=0.22
雷諾數Re:
在簡單估算或介質黏度難以確定時,Ns=0.22。
5、溫度計套管應力計算
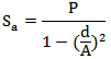
(1)在設計流速條件下的穩態應力計算
①計算套管上應力
a、徑向壓力應力Sr:Sr=P
b、圓周壓力應力St:

c、軸向壓力應力Sa:

式中,P為操作壓力,Pa;d為套管孔徑,m;A為套管根部外徑,m。
②在套管支撐面下游側穩態應力計算

式中,SD為穩態應力,Pa;CD為穩態壓力阻力系數(CD=1.4);Gβ為計算參數Gsp或GRD。
(2)在設計流速條件下的動態應力計算
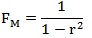
①在非縱向共振條件下橫向共振放大系數計算

式中,FM為橫向共振放大系數;r為渦旋脫落頻率與自然頻率比(橫向共振),r=fs/fnc(fs為渦旋脫落頻率,Hz;fnc為安裝后套管自然頻率,Hz)。
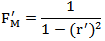
②在非縱向共振條件下縱向共振放大系數計算

式中,F'M為縱向共振放大系數;r'為渦旋脫落頻率與自然頻率比(縱向共振),
③計算橫向振動應力SL:

CL=1.0
④計算縱向振動應力Sd:

Cd=0.1
⑤計算最大應力Smax:Smax=SD+Sa
(3)在縱向共振條件下的動態應力計算
①在縱向共振條件下的流速(VIR)計算
a、22≤Re≤1300時

b、1300≤Re≤5×105時

c、5×105≤Re≤5×107時

其中,計算VIR時的多項式函數
a(R)=0.0285R2-0.0496R
R=lg(Re/Re0)
Re0=1300
在工程實際計算中,Ns=0.22,計算縱向共振流速:

②在溫度計套管支撐面下游側應力計算
a、穩態應力SD計算

CD=1.4
b、橫向振動應力SL忽略不計。
c、縱向振動應力Sd計算

V=VIR
F'M=1000
③應力集中系數Kt的確定
a、一般Kt取2.2。
b、螺紋連接時Kt取2.3。
c、已知b和A:


式中,A為套管根部直徑;b為套管根部圓角半徑。
④動態應力FT、FE、Sf的確定。
a、FE為環境因數,FE≤1。
b、FT為溫度校正因數,FT=E(T)/Eref。E(T)為操作溫度下的彈性模量,Eref為彈性模量參考值。A級材料,Eref=202GPa,低鉻合金,Eref=213GPa;B級材料,Eref=195GPa,鎳銅合金,Eref=179GPa。
(4)Gβ參數計算(Gβ參數是指GSP和GRD兩個參數。)
①對于錐形、直形無遮蔽長度的套管:

②對于錐形、直形有遮蔽長度的套管:

溫度計套管在生命周期里可能達到1×1011次振動,屬于高循環限制條件下的振動,其Sf值可依據表6選取。
表6 Sf參數

